@rxiomnimon - Integrated archival data management system

Ελληνικά English Français
Bookmark:(+)(-)


CLASSIFICATION SCHEME
Browse [Repository] GRGSA-MAG
Archives of Magnesia
Browse [Fonds] GRGSA-MAG_NOT002
KARAMANOLIS NOTARIAL ARCHIVE - KARAMANOLIS NOTARIAL ARCHIVE  [1808 - 1992]
Contents: Ευρετήριο συμβολαιογραφικών πράξεων 1 - 1647. Ευρετήριο συμβολαιογραφικών πράξεων 1648 - 4590. Ευρετήριο συμβολαιογραφικ...
Browse [File] GRGSA-MAG_NOT002.01.F000066
File #066 - KARAMANOLIS NOTARIAL ARCHIVE  [1903]
Contents: Συμβολαιογραφική πράξη. Διαμαρτυρικό. Συμβολαιογραφική πράξη. Θεώρηση. Συμβολαιογραφική πράξη. Εκμίσθωση. Συμβολαιογραφι...
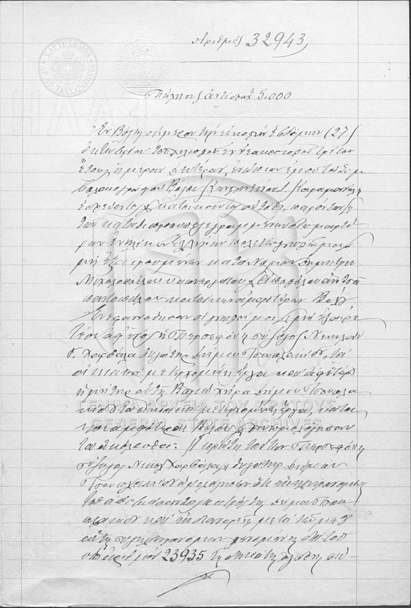
Browse [Item] GRGSA-MAG_NOT002.01.F000066.IT032943
Item #32943 - KARAMANOLIS NOTARIAL ARCHIVE  [27 Οκτωβρίου 1903]
Notarial deed. Sale agreement.

4 items total [1 - 4]
Take #001
Take #002
Take #003
Take #004
< Previous   [1]   Next >
Go to page: 
Όροι Πρόσβασης | Προσωπικά Δεδομένα