| ΤΑΞΙΝΟΜΙΚΟ ΔΕΝΤΡΟ |
|---|
|
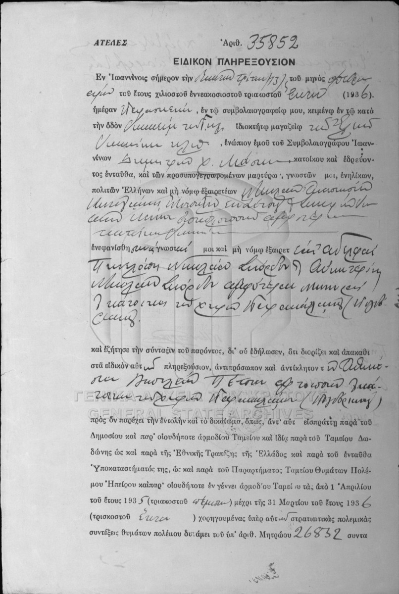
[Αρχείο] GRGSA-IAE_NOT002 ΣΥΜΒΟΛΑΙΟΓΡΑΦΙΚΟ ΑΡΧΕΙΟ ΔΗΜΗΤΡΙΟΥ Χ. ΛΙΑΣΚΟΥ [1815 - 1981] Περιεχόμενα: Ευρετήριο συμβολαιογραφικών πράξεων 1 - 1696. Ευρετήριο συμβολαιογραφικών πράξεων 1697 - 3840. Ευρετήριο συμβολαιογραφικ... |
|
[Φάκελος] GRGSA-IAE_NOT002.01.F000105 Φάκελος #105 [1931 - 1936] Περιεχόμενα: Συμβολαιογραφική πράξη. Συνυποσχετικό. Συμβολαιογραφική πράξη. Ειδικό πληρεξούσιο. Συμβολαιογραφική πράξη. Διαμαρτυρικό.... |
|
[Τεκμήριο] GRGSA-IAE_NOT002.01.F000105.IT035852 Τεκμήριο #35852 [13 Φεβρουαρίου 1936] Συμβολαιογραφική πράξη. Ειδικό πληρεξούσιο. |