@rxiomnimon - Integrated archival data management system

Ελληνικά English Français
Bookmark:(+)(-)


CLASSIFICATION SCHEME
Browse [Repository] GRGSA-IAE
Historical Archives of Epirus
Browse [Fonds] GRGSA-IAE_NOT002
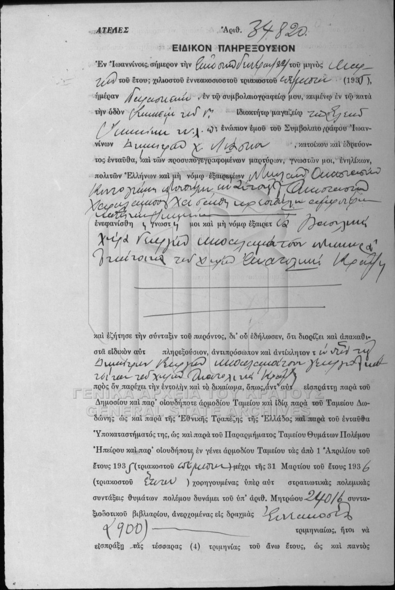
ΣΥΜΒΟΛΑΙΟΓΡΑΦΙΚΟ ΑΡΧΕΙΟ ΔΗΜΗΤΡΙΟΥ Χ. ΛΙΑΣΚΟΥ  [1815 - 1981]
Contents: Ευρετήριο συμβολαιογραφικών πράξεων 1 - 1696. Ευρετήριο συμβολαιογραφικών πράξεων 1697 - 3840. Ευρετήριο συμβολαιογραφικ...
Browse [File] GRGSA-IAE_NOT002.01.F000102
File #102  [1916 - 1936]
Contents: Συμβολαιογραφική πράξη. Ενυπόθηκο δάνειο. Συμβολαιογραφική πράξη. Εξόφληση συμβολαίου κια τεκμαρτών τόκων. Συμβολαιογραφ...
Browse [Item] GRGSA-IAE_NOT002.01.F000102.IT034820
Item #34820  [22 Μαρτίου 1935]
Notarial deed. Special power of attorney.

2 items total [1 - 2]
Take #001
Take #002
  
< Previous   [1]   Next >
Go to page: 
Όροι Πρόσβασης | Προσωπικά Δεδομένα